根据《2024新生代妈妈奶粉喂养白皮书》显示,90后、95后妈妈在育儿和喂养方面占据了重要地位。参与调研的2167名妈妈中,90后、95后最多,总占比超过70%。辅以艾瑞数智的数据显示,在新生儿妈妈年龄分布中,90后占比为44%,95后占比33.5%,二者之和接近80%,这表明90后和95后已经成为当下的主要育儿群体。
一、90后和95后成为主要育儿群体,喂养方式又会如何变更?
1. 科学喂养的加强:90后、95后成长于物质相对丰富、高等教育进一步普及的年代,思想也好,认知也罢,比父母爷奶一辈普遍先进优秀,这是社会进步的表现之一。秉持着这些思想认知的90后、95后,自然会将此投射在生活中,而育儿喂养这等关系到孩子的健康和未来的大事,则会更加注重科学喂养,对于营养补充也是“只补对的,不补贵的”。
2. 传统喂养与现代喂养的融合:我90后、95后群体,在当下而言,属于社会的中流砥柱,比之70后、80后,他们的思想认知相对新潮,更愿意接受崭新事物;比之00后、05后,他们的社会阅历与见识则相对丰富深广,不会偏听偏信。在喂养方面,自然也会取舍有道,以为己用。
3. 追求赢在起跑线上:与90后、95后的生活条件相比,20后的生活条件自然更好,所以90后、95后成为宝妈、加入育儿大军时,一般会追求让孩子赢在起跑线上——包括但不限于让孩子自幼加强脑营养、视神经营养,为孩子提高免疫力,让孩子少生病等等。
以上几点,基本是由新生代育儿群体——90后、95后推动变更并使用的喂养方式,所以不妨将其称为“新式喂养关系”。
二、新式喂养关系,需要何种面向婴幼儿的营养品牌?
结合前文来看,可以得出,新生代育儿群体的新式喂养关系,基本围绕“科学喂养”“传统与现代结合”“追求赢在起跑线上”三大项。我们寻找符合这三项且面向婴幼儿的营养品牌即可。
三、惠优喜,让孕育远离营养失衡。
惠优喜,创立于2010年,是富诺健康股份有限公司旗下的专业母婴营养品品牌。该品牌产品种类多,可分为免疫、益智、基础营养、肠胃四个系列,为孕育全过程提供优质且全面的营养。
四、惠优喜智黄金DHA、橙冠乳铁蛋白,赋能新式喂养
1. 因为讲究科学,所以营养价值更高:考虑到胎儿、婴幼儿的大脑需要优质且充足的营养才能健康发育,为了让更多孩子能够拥有一个健康、灵活、聪明的大脑,为了让更多孩子能够赢在起跑线上,惠优喜曾与伦敦大学帝国理工学院的迈克尔·克劳福德(Michael Crawford)教授合作,推出惠优喜智黄金DHA。
2. Sn-2位DHA,让营养价值更高,更易吸收!
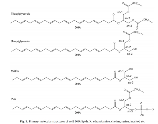
既然新式喂养关系要力求科学,惠优喜智黄金DHA就会将此做到精益求精。再科研中,发现DHA和ARA的存在形式含量最多的均为结合在sn-2位的甘油三酯。在人乳脂肪(HMF)的总脂肪酸中,DHA只占很小的比例(0.36%–0.70%),但是超过一半(52.63%–65.15%)被结合在sn-2位置。此外,酯化在 sn-2 位置的 DHA会优先被肠粘膜吸收,并在体内再酯化为PLs,从而会优先被转运到大脑中,而酯化在 sn-1、3 位置的DHA在被胰脂酶水解后则优先转运到肝脏。因此,sn-2 DHA脂质能优先促进人体大脑的发育和功能的发展。(如下图所示)


3. 新式喂养,自然要新!惠优喜智黄金DHA,新款细分,闪亮登场!
惠优喜智黄金婴幼儿款DHA
呵护婴幼儿,让喂食更简单。采用液体剂型,降低妈妈喂食难度,半岁以上就能吃!

惠优喜智黄金学龄前儿童款DHA
采用DHA藻油+磷脂酰丝氨酸,双重营养,让智慧充盈大脑。

惠优喜智黄金孕哺女性款DHA
采用小颗粒柠檬味爆珠设计,让孕哺期间的女性消费者也能放心食用,避免孕吐,真正让孩子赢在起跑线上。

惠优喜智黄金中老年款DHA
DHA+EPA双管齐下,助中老年人应对亚健康与心血管问题。

4. 惠优喜橙冠乳铁蛋白,四重营养,确保孩子健康成长。
惠优喜橙冠乳铁蛋白融合了乳铁蛋白、免疫球蛋白、接骨木莓粉及燕窝酸四大营养精华,全方位帮宝宝保持健康的免疫系统。
考虑到新式喂养关系中追求“传统与现代的融合”,所以惠优喜橙冠乳铁蛋白既可直接食用,也便于以温水冲服,让孩子们既能向“多喝水”的传统迈进,让宝宝保持健康的免疫系统,一举两得。此外,惠优喜品牌下还有八臻宝、九消宝这类有益儿童脾胃消化的产品,均是“以古为鉴”“古为今用”“推陈出新”的产品,进一步满足新式喂养方式。
5. 惠优喜产品采用贴心设计,让新式喂养方式更便捷。
惠优喜智黄金DHA:采用薄皮小晶球设计,入口即化,可加在牛奶这等辅食中,洋溢的淡淡柠檬香,适宜婴幼儿、儿童、孕妇、中老年人的口味,让补充DHA犹如吃糖。

惠优喜橙冠乳铁蛋白:独立包装,冲泡剂量一目了然,再也不用担心统一包装的不卫生和受潮等问题。每100g含500mg乳铁蛋白、2000mg免疫球蛋(IgG)、500mg接骨木莓、20mg N-乙酰神经氨酸(燕窝酸),营养更丰富。

本文开头便提到新生代育儿群体的“新式喂养方式”注重科学,何为科学?自然不是片面之词。
五、惠优喜产品,真金不怕火炼!
1. 自有工厂,自研自供,产品均有源可循,通过严苛的质量监管,做到让消费者真正安心。经得起消费者的检验!


研究院、奖项证书、检验报告,一应俱全!让科学更为直观,更加具象。







2. 惠优喜3.15质量安全日:提高员工综合素质,让产品质量始于“人”
产品研发需要人,产品生产制造需要人,产品推销需要人……一言以蔽之:人,决定着产品安全与否、质量高低、销路宽窄。对此,惠优喜为贯彻落实品质发展理念,每年均会开展3.15质量安全日,让员工对品质理念和安全保障形成更全面、深入的理解。

在不断更迭的母婴行业,在母婴需求、儿童营养需求日渐多样化的时代,惠优喜始终站在时代的前沿,以科学研发为翼,以爱心为舵,不忘“让孕育远离营养失衡”之使命,顺势而为,傲立于新式喂养关系的潮流之上。未来,惠优喜将继续深耕细作,以更加科学、智能、精准细分的喂养解决方案,赋能每一位宝妈,让新式喂养不仅是方式的革新,更是母爱的升华。